
近日,凯发k8官网谢臻达、龚彦晓、祝世宁团队与中国科学技术大学郭光灿、韩正甫团队的银振强教授、王双教授、陈巍教授合作,在国际上率先完成基于无人机平台的量子密钥分发实验,证明了利用无人机等移动平台能够完成实用化的光量子信息任务。在该项研究中,团队自主研发了集成化量子密钥分发系统、全自动小型化高精度跟踪瞄准系统和运动状态下的偏振控制系统,搭载于自主研发的小型多旋翼无人机平台,完成了空地之间的量子密钥分发,安全密钥生成速率达到8 kbps。
量子信息传输的最终目标是直接用量子态传输信息,现阶段人们能够实现的是通过量子密钥分发(Quantum key distribution,QKD),利用量子方法实现信息加密传输。此前,量子密钥分发已经通过光纤和卫星作为载体获得实验验证,并逐步走向实用。但是量子密钥分发的实际应用迫切需要将单光子直接传输到终端用户的能力,这有赖于移动平台量子网络的实现。凯发k8官网团队曾在国际上率先提出利用无人机等移动平台构建量子网络的构想,并先后完成了基于无人机的纠缠光子分发(Natl. Sci. Rev. 2020, 7, 921)与光学中继纠缠分发(Phys. Rev. Lett. 2021, 126, 020503)的实验验证,这些工作证明通过无人机进行量子态传输是可行的,但是基于无人机移动平台的量子密钥分发尚待实验验证。
想要基于无人机移动平台实现量子密钥分发,系统的重量、体积、稳定性等方面面临多项技术挑战。研究者们通过若干核心技术的原创设计与研发成功解决了所有挑战,实现了首例无人机与地面站之间的量子密钥分发,实验的流程见图1。

图1 基于无人机的量子密钥分发示意图
研发的核心技术与系统包括:
(1)集成化量子密钥分发系统
该系统主要由一对可机载QKD发射模块与便携式QKD接收模块组成。不同于常规的桌面级系统,该系统中的重要光学元件均采用微光学技术研发,并与相关控制电学元件封装在同一个PCB板之上。封装后的发射模块体积仅179×179×60 mm3,重量1.5 kg。
(2)全自动自由空间跟踪瞄准系统
该系统由一对收发一体的捕获、指向和跟踪(acquisition, pointing, and tracking,APT)系统组成,可以在自由空间实现光学信号从单模光纤到单模光纤的低损耗传输,系统重量仅5 kg。此外,系统还集成了惯性测量模块和实时动态定位模块,能够在30秒内完成目标的全自动捕获与跟瞄。
(3)运动过程中的偏振控制技术
面向移动平台偏振编码量子密钥分发的应用需求,研究者们通过在无人机端引入额外的保偏光纤路径,利用混合编码的方案发展了全套无需实时校准的动中通偏振控制与保持技术。完整光路设计见图2。

图2 基于无人机的量子密钥分发光路图
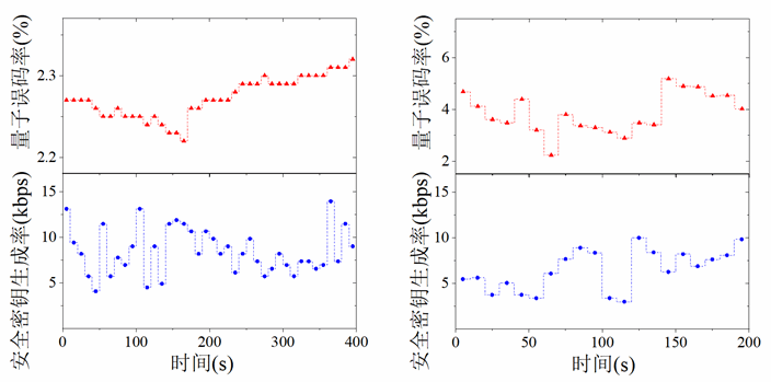
利用上述核心系统与技术,研究人员最终在相距200米的无人机与地面站之间建立了一条低损耗、高保真的光量子链路(链路损耗约9 dB),并在夜晚和照度低于3000 lx的白天成功实现了量子密钥分发实验演示,见图3。夜晚实验采集时间400秒,平均安全密钥生成率 >8 kbps,平均误码率约2.28%。白天实验采集时间200秒,平均安全密钥生成率 >6 kbps,平均误码率约3.86%,见图4。实验结果证实了利用无人机平台实现实用化光量子信息任务的可行性与可靠性。

图3 实验中的无人机照片

图4 夜晚与白天的量子密钥分发结果
在本项工作中,研究者们自主研发了多项核心技术,实现了首例无人机和地面站之间的量子密钥分发实验演示。利用研发的收发一体APT技术,可以轻松的实现节点间分发距离、移动节点数量等重要指标的提升,用于实现具有复杂拓扑结构的局域量子密钥分发网络。未来,通过进一步的技术发展,有望基于固定翼高空无人机实现广域量子密钥分发,实现全时全方位覆盖的移动量子互联。相关研究成果以“Experimental demonstration of drone-based quantum key distribution” 为题发表于《Physical Review Letters》杂志上。
凯发k8官网电子科学与工程学院博士后田晓慧和物理学院博士生杨然为该论文的共同第一作者,凯发k8官网物理学院刘华颖研究员、龚彦晓教授和电子科学与工程学院谢臻达教授为论文的共同通信作者,中国科学技术大学银振强教授、王双教授、陈巍教授和南智芯链科技(湖州)有限公司参与了该工作,凯发k8官网祝世宁教授在该工作开展的全过程给与了重要指导。这项研究得到了国家自然科学基金项目、国家重点研发计划、江苏省前沿引领技术基础研究专项、凯发k8官网卓越计划、江苏省卓越博士后计划等项目的支持。
论文链接:https://link.aps.org/doi/10.1103/PhysRevLett.133.200801